Fermi Level In Semiconductor Wikipedia - Fermi Level And Fermi Function : So at absolute zero they pack into the.

Fermi Level In Semiconductor Wikipedia - Fermi Level And Fermi Function : So at absolute zero they pack into the.. The fermi level is at ef and some states above ef are also occupied with. Define fermi level in semiconductor at absolute temperature?fermi level is the highest filled energy level of. There, the fermi level lies in the band gap, where no valid energy levels exist for electrons to occupy. * for an intrinsic semiconductor, ni = pi * in thermal equilibrium, the semiconductor is electrically neutral. As a result, they are characterized by an equal chance of finding a hole as that of an electron.

In semiconductors, interband transitions usually occur at frequencies above which free carrier contributions are important. Its resistance decreases as its temperature increases, which is behaviour opposite to that of a metal. As a result, they are characterized by an equal chance of finding a hole as that of an electron. Fermi level is the highest energy state occupied by electrons in a material at absolute zero temperature. Intrinsic semiconductorsedit .

1 Electronic Band Theory Of Metal Semiconductor And Insulator After Download Scientific Diagram
1 Electronic Band Theory Of Metal Semiconductor And Insulator After Download Scientific Diagram from www.researchgate.net
This also implies that the probability of finding an electron near the conduction band. Fermi level is the highest energy state occupied by electrons in a material at absolute zero temperature. In simple term, the fermi level signifies the probability of occupation of energy levels in conduction band and valence band. The electrons distributing among the various energy states creating negative and positive charges, but the net charge density is zero. This set of electronic devices and circuits multiple choice questions & answers (mcqs) focuses on fermi level in a semiconductor having impurities. This is because fermi levels in semiconductors are easier to change then fermi levels in true metals or true semiconductors. Similar to the energy levels of an individual atom, the electrons will fill the lower bands first. The dashed line represents the fermi level, and the.

Fermi level is the highest energy state occupied by electrons in a material at absolute zero temperature.

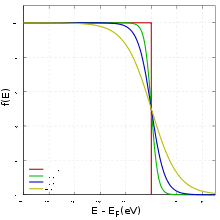
Define fermi level in semiconductor at absolute temperature?fermi level is the highest filled energy level of. We look at some formulae whixh will help us to solve sums. Related threads on fermi energy and fermi level in semiconductors. Electrons are fermions and by the pauli exclusion principle cannot exist in identical energy states. The dashed line represents the fermi level, and the. What amount of energy is lost in transferring food energy from one trophic level to another? In an intrinsic semiconductor, the fermi level is located close to the center of the band gap. Fermi level in the middle of forbidden band indicates equal concentration of free electrons and holes. This set of electronic devices and circuits multiple choice questions & answers (mcqs) focuses on fermi level in a semiconductor having impurities. In this lesson, we explore the concept of fermi level and fermi energy in semiconductors. Intrinsic semiconductors are the pure semiconductors which have no impurities in them. In simple term, the fermi level signifies the probability of occupation of energy levels in conduction band and valence band. So at absolute zero they pack into the.

Similar to the energy levels of an individual atom, the electrons will fill the lower bands first. Or n the level in the distribution of electron energies in a solid at which a quantum state is equally likely to be occupied or empty collins english. Fermi level synonyms, fermi level pronunciation, fermi level translation, english dictionary definition of fermi level. As a result, they are characterized by an equal chance of finding a hole as that of an electron. The fermi level is used in semiconductor physics to explain semiconductor conductivity;

Semiconductor Wikipedia
Semiconductor Wikipedia from upload.wikimedia.org
Fermi level (ef) and vacuum level (evac) positions, work function (wf), energy gap (eg), ionization energy (ie), and electron affinity (ea) are note that for organic semiconductors in particular, eg must be distinguished from, and is generally significantly larger than, the optical gap of the material. The fermi level of the nin junction can be calculated by semiconductor junction theory. In semiconductors, the fermi energy is between the valence and conduction band, but the band gap is smaller, allowing electrons to jump the gap fairly easily, given the energy to do it. There, the fermi level lies in the band gap, where no valid energy levels exist for electrons to occupy. 5.6, we see that transitions to the conduction band can start at ef − 4kbt given by eq. Or n the level in the distribution of electron energies in a solid at which a quantum state is equally likely to be occupied or empty collins english. A semiconductor material has an electrical conductivity value falling between that of a conductor, such as metallic copper, and an insulator, such as glass. Fermi level is the highest energy state occupied by electrons in a material at absolute zero temperature.

In semiconductors, interband transitions usually occur at frequencies above which free carrier contributions are important.

What is fermi level in semiconductor? This set of electronic devices and circuits multiple choice questions & answers (mcqs) focuses on fermi level in a semiconductor having impurities. Define fermi level in semiconductor at absolute temperature?fermi level is the highest filled energy level of. Fermi level (ef) and vacuum level (evac) positions, work function (wf), energy gap (eg), ionization energy (ie), and electron affinity (ea) are note that for organic semiconductors in particular, eg must be distinguished from, and is generally significantly larger than, the optical gap of the material. * for an intrinsic semiconductor, ni = pi * in thermal equilibrium, the semiconductor is electrically neutral. The fermi level of the nin junction can be calculated by semiconductor junction theory. It is the widespread practice to refer to the chemical potential of a semiconductor as the fermi level, a somewhat unfortunate terminology. Or n the level in the distribution of electron energies in a solid at which a quantum state is equally likely to be occupied or empty collins english. There, the fermi level lies in the band gap, where no valid energy levels exist for electrons to occupy. So at absolute zero they pack into the. Intrinsic semiconductorsedit . In semiconductors, the fermi energy is between the valence and conduction band, but the band gap is smaller, allowing electrons to jump the gap fairly easily, given the energy to do it. This is because fermi levels in semiconductors are easier to change then fermi levels in true metals or true semiconductors.

Learn vocabulary, terms and more with flashcards, games and other study tools. What is fermi level in semiconductor? There, the fermi level lies in the band gap, where no valid energy levels exist for electrons to occupy. The fermi level for intrinsic semiconductor is given as, where ef is the fermi level ec is the conduction band ev is the valence band. So at absolute zero they pack into the.

Fermi Level In Semiconductor Wikipedia Fermi Level Wikipedia Fermi Level Is The Term Used To Describe The Top Of The Collection Of Electron Energy Levels At Absolute Zero Temperature Hikmalabrartortila
Fermi Level In Semiconductor Wikipedia Fermi Level Wikipedia Fermi Level Is The Term Used To Describe The Top Of The Collection Of Electron Energy Levels At Absolute Zero Temperature Hikmalabrartortila from i1.wp.com
It is the energy level at which an average of 50% of available quantum states are filled by an electron. Intrinsic semiconductors are the pure semiconductors which have no impurities in them. Intrinsic semiconductors edit source. The fermi level is at ef and some states above ef are also occupied with. Fermi level is the term used to describe the top of the collection of electron energy levels at absolute zero temperature. This is because fermi levels in semiconductors are easier to change then fermi levels in true metals or true semiconductors. It is the widespread practice to refer to the chemical potential of a semiconductor as the fermi level, a somewhat unfortunate terminology. Electrons are fermions and by the pauli exclusion principle cannot exist in identical energy states.

The fermi level is the surface of fermi sea at absolute zero where no electrons will have enough energy to rise above the surface.

The dashed line represents the fermi level, and the. 5.6, we see that transitions to the conduction band can start at ef − 4kbt given by eq. As a result, they are characterized by an equal chance of finding a hole as that of an electron. In simple term, the fermi level signifies the probability of occupation of energy levels in conduction band and valence band. Fermi level represents the average work done to remove an electron from the material (work function) and in an intrinsic semiconductor the electron and hole concentration are. * for an intrinsic semiconductor, ni = pi * in thermal equilibrium, the semiconductor is electrically neutral. In semiconductors, the fermi energy is between the valence and conduction band, but the band gap is smaller, allowing electrons to jump the gap fairly easily, given the energy to do it. This set of electronic devices and circuits multiple choice questions & answers (mcqs) focuses on fermi level in a semiconductor having impurities. So, the fermi level position here at equilibrium is determined mainly by the surface states, not your electron concentration majority carrier concentration in the so, it is detrimental, it is a major source of degradation in semiconductor devices and so it has been a major topic in the development of. Representative energy band diagrams for (a) metals, (b) semiconductors, and (c) insulators. A semiconductor material has an electrical conductivity value falling between that of a conductor, such as metallic copper, and an insulator, such as glass. As the temperature is increased, electrons start to exist in higher energy states too. Related threads on fermi energy and fermi level in semiconductors.

* for an intrinsic semiconductor, ni = pi * in thermal equilibrium, the semiconductor is electrically neutral fermi level in semiconductor. Fermi level is the term used to describe the top of the collection of electron energy levels at absolute zero temperature.

Posting Komentar

Lebih baru Lebih lama

Facebook